Free Access

Fig. 10

thumbnail

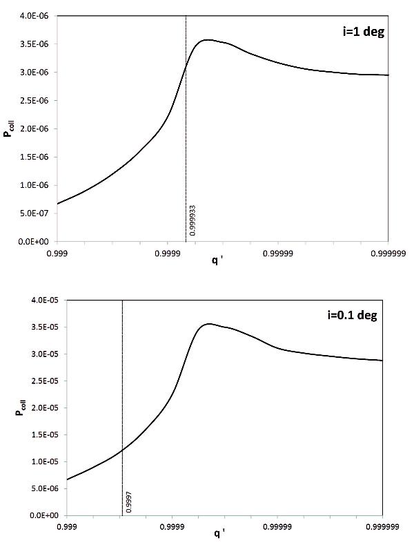
Mean impact probability with the Earth, as averaged over all arguments of perihelion, versus perihelion distance q as the latter approaches 1. Calculations have been made with the MOID-track method. The two panels correspond to two inclinations: i = 1 deg and i = 0.1 deg. Critical values of q, as defined in the text, are marked.

This figure is made of several images, please see below:

Current usage metrics show cumulative count of Article Views (full-text article views including HTML views, PDF and ePub downloads, according to the available data) and Abstracts Views on Vision4Press platform.

Data correspond to usage on the plateform after 2015. The current usage metrics is available 48-96 hours after online publication and is updated daily on week days.

Initial download of the metrics may take a while.