Free Access

Fig. 12

thumbnail

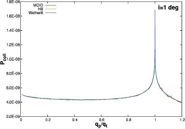
Collision probability with Mars (using its current orbital and physical properties) per orbital revolution as a function of the projectile perihelion distance (qp) divided by Mars’ perihelion distance (qt), according to different methods. The variations are the same to good accuracy for all methods, except in the immediate vicinity of qp = qt.

Current usage metrics show cumulative count of Article Views (full-text article views including HTML views, PDF and ePub downloads, according to the available data) and Abstracts Views on Vision4Press platform.

Data correspond to usage on the plateform after 2015. The current usage metrics is available 48-96 hours after online publication and is updated daily on week days.

Initial download of the metrics may take a while.