Free Access

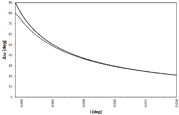
Fig. 6

thumbnail

Comparison of two different calculations of the width (Δω) of the ω range allowing collisions with the Earth by projectiles on low-inclination orbits. For details, see the text. The dashed curve shows results obtained from Eq. (14), and the solid curve shows numerically calculated values using the MOID-track method.

Current usage metrics show cumulative count of Article Views (full-text article views including HTML views, PDF and ePub downloads, according to the available data) and Abstracts Views on Vision4Press platform.

Data correspond to usage on the plateform after 2015. The current usage metrics is available 48-96 hours after online publication and is updated daily on week days.

Initial download of the metrics may take a while.