Free Access

Fig. 10

thumbnail

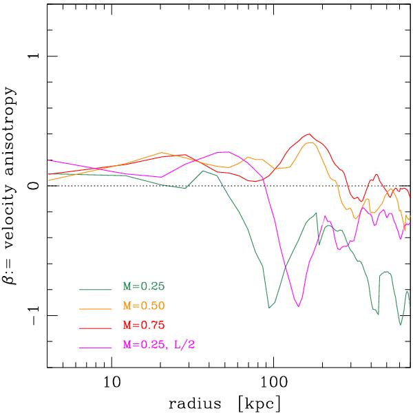
Velocity anisotropy as a function of radius, , for all the hydro models. Negative/positive values imply a tangential/radial bias. g-waves (M ≤ 0.25) tend to damp the radial component of turbulent motions, inducing a tangential bias; p-waves (M ≥ 0.75) tend instead to preserve isotropic motions, or to induce a slightly radial bias. In realistic clusters, the anisotropy is expected to be minor, due to the interplay of both waves and the recurrent stirring.

Current usage metrics show cumulative count of Article Views (full-text article views including HTML views, PDF and ePub downloads, according to the available data) and Abstracts Views on Vision4Press platform.

Data correspond to usage on the plateform after 2015. The current usage metrics is available 48-96 hours after online publication and is updated daily on week days.

Initial download of the metrics may take a while.