Free Access

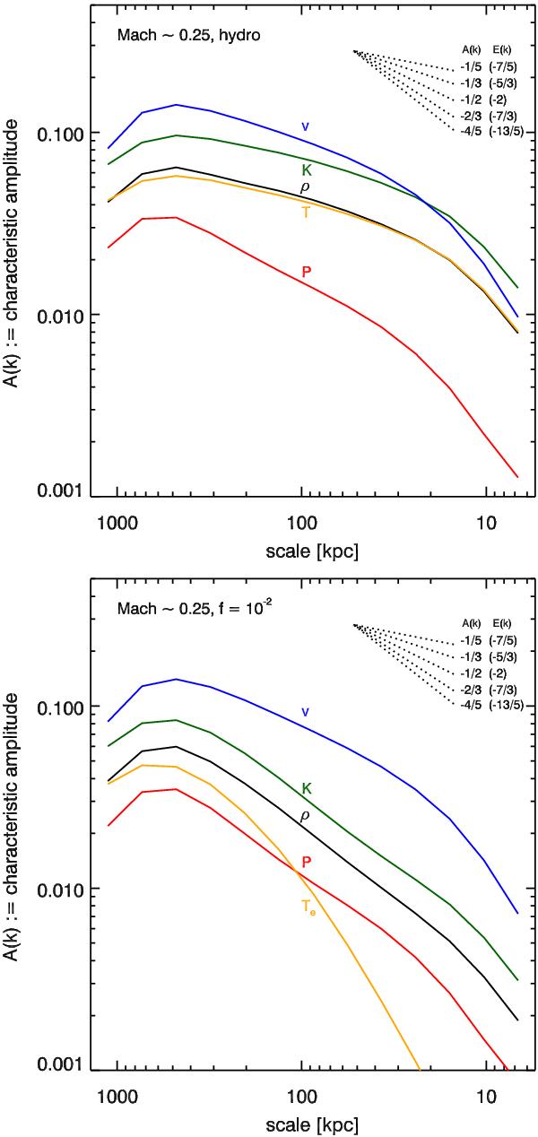
Fig. 8

thumbnail

Characteristic amplitude of the fluctuations related to all the thermodynamic quantities for the M ~ 0.25 flow without (top) and with conduction (f = 10-2; bottom): v/cs (3D Mach), δK/K (entropy), δρ/ρ (density), δT/T (temperature), δP/P (pressure). Except for turbulent velocities (laminar motions are null by construction), all other quantities are divided by the azimuthally averaged profile. For the conductive runs, we plot the (observable) electron temperature; the entropy parameter is K ≡ (Pe + Pi) /ργ. In the low M flow, entropy perturbations (tied to g-waves) are the leading tracer of turbulent velocities, respecting the isobaric regime. Conduction gradually shifts the latter mode toward the isothermal regime, changing the relation with the derived thermodynamic quantities (δK/K starts to approach density fluctuations).

This figure is made of several images, please see below:

Current usage metrics show cumulative count of Article Views (full-text article views including HTML views, PDF and ePub downloads, according to the available data) and Abstracts Views on Vision4Press platform.

Data correspond to usage on the plateform after 2015. The current usage metrics is available 48-96 hours after online publication and is updated daily on week days.

Initial download of the metrics may take a while.