Free Access

Fig. 11

thumbnail

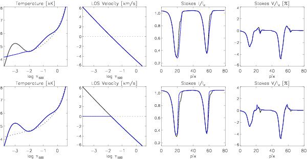
Synthetic Stokes profiles using a temperature stratification without the inferred increased at high layers, first row. The same study but changing to zero the LOS velocity at high layers is presented in the second row. Black designates the original profiles obtained using the mean atmosphere showed in blue in Fig. 5 while blue lines mark the newer results.

Current usage metrics show cumulative count of Article Views (full-text article views including HTML views, PDF and ePub downloads, according to the available data) and Abstracts Views on Vision4Press platform.

Data correspond to usage on the plateform after 2015. The current usage metrics is available 48-96 hours after online publication and is updated daily on week days.

Initial download of the metrics may take a while.