Free Access

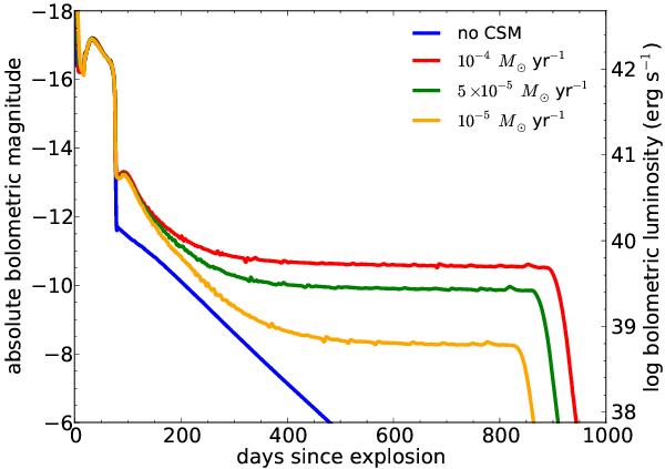
Fig. 1

thumbnail

Bolometric LCs of ecSNe exploding within the super-AGB wind. The LC model without CSM (TBN13) is also shown for comparison. The mass-loss rate of the model is indicated in the figure. The wind velocity is vwind = 20km s-1 for all models.

Current usage metrics show cumulative count of Article Views (full-text article views including HTML views, PDF and ePub downloads, according to the available data) and Abstracts Views on Vision4Press platform.

Data correspond to usage on the plateform after 2015. The current usage metrics is available 48-96 hours after online publication and is updated daily on week days.

Initial download of the metrics may take a while.