Free Access

Fig. 2

thumbnail

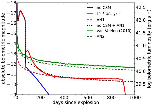
Comparison of several bolometric LC models. The “no CSM” model and the 10-4 M yr-1 model are the same as in Fig. 1. The AN1 model is the expected contribution of the luminosity from the interaction in the 10-4 M yr-1 model which is estimated with the analytic LC model of Moriya et al. (2013b). Adding the “no CSM” and AN1 models, we obtain the “no CSM + AN1” model, which roughly matches the overall LC evolution of the 10-4 M yr-1 model. The LC model of van Veelen (2010) is obtained from a numerical two-dimensional LC calculation with the similar initial conditions in the 10-4 M yr-1 model. The AN2 model is the analytic LC estimate for the van Veelen (2010) model. See Sect. 3 for details.

Current usage metrics show cumulative count of Article Views (full-text article views including HTML views, PDF and ePub downloads, according to the available data) and Abstracts Views on Vision4Press platform.

Data correspond to usage on the plateform after 2015. The current usage metrics is available 48-96 hours after online publication and is updated daily on week days.

Initial download of the metrics may take a while.