Free Access

Fig. 1

thumbnail

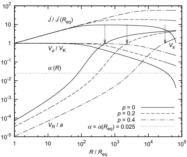
Dependence of the relative radial and azimuthal velocities and the relative angular momentum loss rate on radius for various temperature profiles calculated by the method described in Sect. 4.1. Constant viscosity α = 0.025 is assumed. Arrows denote the sonic point.

Current usage metrics show cumulative count of Article Views (full-text article views including HTML views, PDF and ePub downloads, according to the available data) and Abstracts Views on Vision4Press platform.

Data correspond to usage on the plateform after 2015. The current usage metrics is available 48-96 hours after online publication and is updated daily on week days.

Initial download of the metrics may take a while.