Free Access

Fig. 20

thumbnail

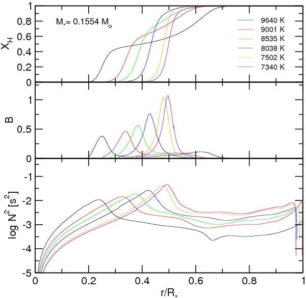
Internal chemical profile of H (upper panel), the Ledoux term B entering in the computation of the Brunt-Väisälä frequency (see Eq. (11)) (middle panel), and the logarithm of the squared Brunt-Väisälä frequency (lower panel), for an ELM WD model with M = 0.1554 M at different effective temperatures, as indicated.

Current usage metrics show cumulative count of Article Views (full-text article views including HTML views, PDF and ePub downloads, according to the available data) and Abstracts Views on Vision4Press platform.

Data correspond to usage on the plateform after 2015. The current usage metrics is available 48-96 hours after online publication and is updated daily on week days.

Initial download of the metrics may take a while.