Free Access

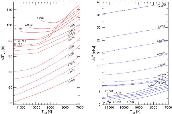
Fig. 4

thumbnail

Dipole ( = 1) asymptotic period spacing of g modes (left panel) and the asymptotic frequency spacing of p modes (right panel) in terms of the effective temperature for all of our low-mass He-core evolutionary sequences. Dashed lines correspond to sequences with CNO flashes during the early-cooling phase, solid lines sequences without H flashes.

Current usage metrics show cumulative count of Article Views (full-text article views including HTML views, PDF and ePub downloads, according to the available data) and Abstracts Views on Vision4Press platform.

Data correspond to usage on the plateform after 2015. The current usage metrics is available 48-96 hours after online publication and is updated daily on week days.

Initial download of the metrics may take a while.