Free Access

Fig. 5

thumbnail

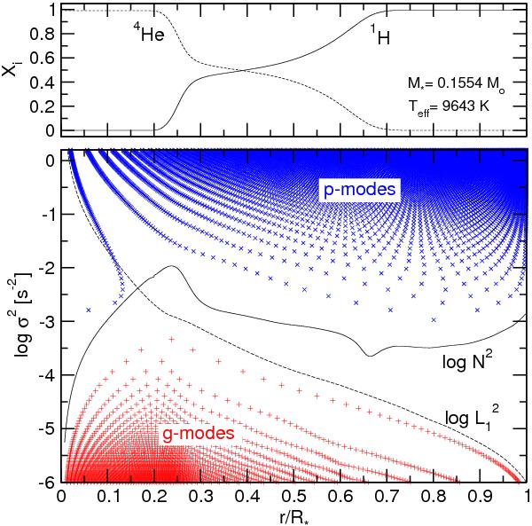
Internal chemical profiles of He and H (upper panel) and the propagation diagram – the run of the logarithm of the squared critical frequencies (N, L) – (lower panel) corresponding to the ELM WD template model of M = 0.1554 M and Teff ≈ 9600 K. Plus symbols (in red) correspond to the spatial location of the nodes of the radial eigenfunction of dipole ( = 1) g modes, x symbols (in blue) represent the location of the nodes of dipole p modes.

Current usage metrics show cumulative count of Article Views (full-text article views including HTML views, PDF and ePub downloads, according to the available data) and Abstracts Views on Vision4Press platform.

Data correspond to usage on the plateform after 2015. The current usage metrics is available 48-96 hours after online publication and is updated daily on week days.

Initial download of the metrics may take a while.