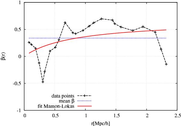
Fig. 4

Radial profile of the anisotropy parameter β(r) defined in Eq. (3), obtained from the simulated cluster data. The two-parameter model by (Mamon & Łokas 2005) is fitted to the data points. We find β∞ = 0.66 ± 0.36 and rβ = 0.82 ± 1.11. Concerning this result, a vanishing β would also be allowed.
Current usage metrics show cumulative count of Article Views (full-text article views including HTML views, PDF and ePub downloads, according to the available data) and Abstracts Views on Vision4Press platform.
Data correspond to usage on the plateform after 2015. The current usage metrics is available 48-96 hours after online publication and is updated daily on week days.
Initial download of the metrics may take a while.