Free Access

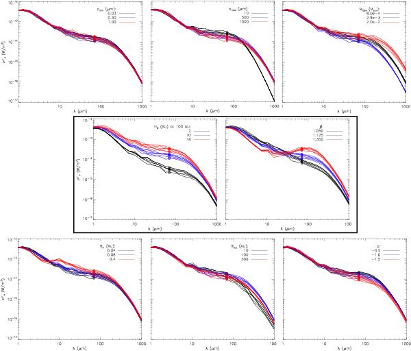
Fig. 10

thumbnail

SED visualization showing the impact that individual disk parameters have on excesses at 70 μm, the wavelength of which is highlighted on the SEDs with the open circle symbols. The SEDs were generated with the 3D radiative transfer code MCFOST (Pinte et al. 2006, 2009). In each individual panel, 3 models of SEDs were generated (black, blue and red lines), by varying one of the the eight disk parameters with values that are displayed in each panel. From left to right and top to bottom, the disk parameters are: minimum grain size (amin), maximum grain size (amax), disk mass (Mdisk), scale height (H0) at a reference disk radius of 100 AU, disk flaring exponent (β), inner radius (Rin), outer radius (Rout), and surface density exponent (p). The SEDs were generated for a star of spectral type M4, and the stellar properties were set based on the temperature conversion of Luhman et al. (2003b) and the 1 Myr evolutionary models of Baraffe et al. (1998), i.e., Teff = 3300 K, Rstar = 1.65 R, Mstar = 0.29 M. The model SEDs are shown at disk inclinations of 18°, 32°, 41°, 49°, 57° and 63° (where 0° is for a face-on disk inclination), for each value of the varied disk parameters. Disk geometry; inclination, H0 and β are seen to have the largest impact on the emission at 70 μm.

Current usage metrics show cumulative count of Article Views (full-text article views including HTML views, PDF and ePub downloads, according to the available data) and Abstracts Views on Vision4Press platform.

Data correspond to usage on the plateform after 2015. The current usage metrics is available 48-96 hours after online publication and is updated daily on week days.

Initial download of the metrics may take a while.