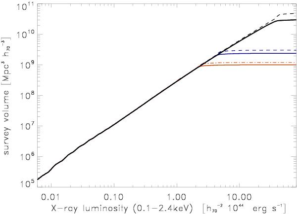
Fig. 1

Effective survey volume as a function of X-ray luminosity. The survey volume was calculated for three different cut-off redshifts, z = 0.8, z = 0.3, z = 0.22 for our reference cosmology (h = 0.7, Ωm = 0.3 and ΩΛ = 0.7). We also determined the same set of curves for a cosmology with the parameters h = 0.7, Ωm = 0.26 and ΩΛ = 0.74 shown as dashed curves. The difference between the set of curves has been amplified by a factor of 10, to make the offset more visible. This affects the dashed curves that are shown slightly offset from the original position.
Current usage metrics show cumulative count of Article Views (full-text article views including HTML views, PDF and ePub downloads, according to the available data) and Abstracts Views on Vision4Press platform.
Data correspond to usage on the plateform after 2015. The current usage metrics is available 48-96 hours after online publication and is updated daily on week days.
Initial download of the metrics may take a while.