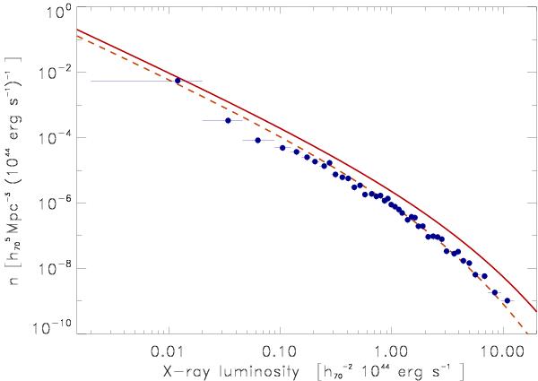
Fig. 12

Comparison of the observed REFLEX II luminosity function (data points) with the theoretical prediction for the best fitting model to the Planck CMB data (Planck Collaboration XVI 2014) with Ωm = 0.315 and σ8 = 0.834 with a mass bias of 10% (upper solid line). Same calculation but assuming a mass bias of 45% is shown by the lower dashed line.
Current usage metrics show cumulative count of Article Views (full-text article views including HTML views, PDF and ePub downloads, according to the available data) and Abstracts Views on Vision4Press platform.
Data correspond to usage on the plateform after 2015. The current usage metrics is available 48-96 hours after online publication and is updated daily on week days.
Initial download of the metrics may take a while.