Free Access
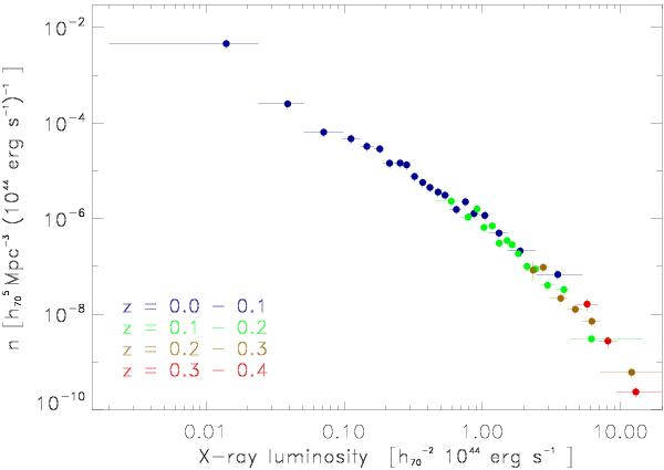
Fig. 2

X-ray luminosity function of REFLEX II determined in four equidistant redshift shells from z = 0 to z = 0.4. Owing to the flux limit of the sample, the different redshift shells cover different luminosity ranges. In the overlap region the functions show no major differences.
Current usage metrics show cumulative count of Article Views (full-text article views including HTML views, PDF and ePub downloads, according to the available data) and Abstracts Views on Vision4Press platform.
Data correspond to usage on the plateform after 2015. The current usage metrics is available 48-96 hours after online publication and is updated daily on week days.
Initial download of the metrics may take a while.