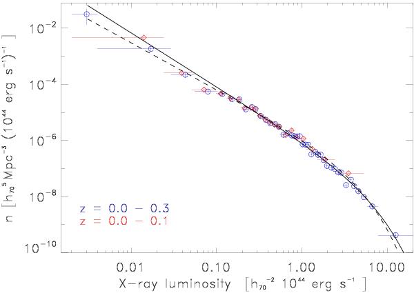
Fig. 3

X-ray luminosity function of the REFLEX II galaxy cluster survey averaged over the survey volumes out to redshifts z = 0.1 and z = 0.3. Schechter functions have been fitted to the two data sets separately to visualize the potential difference of the functions. The fits were performed over the full observed X-ray luminosity range.
Current usage metrics show cumulative count of Article Views (full-text article views including HTML views, PDF and ePub downloads, according to the available data) and Abstracts Views on Vision4Press platform.
Data correspond to usage on the plateform after 2015. The current usage metrics is available 48-96 hours after online publication and is updated daily on week days.
Initial download of the metrics may take a while.