Free Access
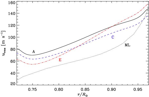
Fig. 3

Radial dependence of the time averaged fluctuating rms-velocity where the contributions from the mean flows are omitted for Runs A (solid black line), C (blue dashed), and E (red dot-dashed). The black dotted line shows the convective velocity from the mixing length (ML) model of Stix (2002).
Current usage metrics show cumulative count of Article Views (full-text article views including HTML views, PDF and ePub downloads, according to the available data) and Abstracts Views on Vision4Press platform.
Data correspond to usage on the plateform after 2015. The current usage metrics is available 48-96 hours after online publication and is updated daily on week days.
Initial download of the metrics may take a while.