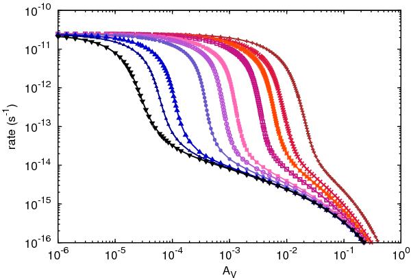
Fig. B.1

H2 photodissociation rate as a function of the extinction computed with the Meudon PDR code applied to PDRs with different densities illuminated on one side: from right to left nH = 10, 30, 50, 100, 300, 500, 1000, 3000, 5000, and 10 000 cm-3, successively.
Current usage metrics show cumulative count of Article Views (full-text article views including HTML views, PDF and ePub downloads, according to the available data) and Abstracts Views on Vision4Press platform.
Data correspond to usage on the plateform after 2015. The current usage metrics is available 48-96 hours after online publication and is updated daily on week days.
Initial download of the metrics may take a while.