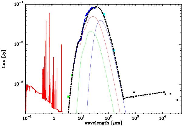
Fig. 15

Full spectrum of SBS 0335-052E. Green points: WISE. Blue points: Spitzer. Cyan points: Herschel. Black points: submm and radio. The IR part of the SED can be deconvolved into three components: a cold one of T1 = 65 K (blue line), a warm one of T2 = 160 K (green line), and emission from dust surrounding the still enshrouded star clusters (red line). Their sum is shown by dot-dashed line.
Current usage metrics show cumulative count of Article Views (full-text article views including HTML views, PDF and ePub downloads, according to the available data) and Abstracts Views on Vision4Press platform.
Data correspond to usage on the plateform after 2015. The current usage metrics is available 48-96 hours after online publication and is updated daily on week days.
Initial download of the metrics may take a while.