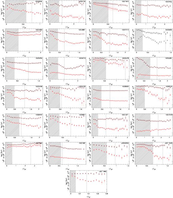
Fig. B.1

Mean luminosity- (light red) and mass- (dark red) age as a function of radius, normalised to the effective radius of the disc. Shaded area indicate the radial range of the surface brightness profile dominated by the bulge. The dashed line shows the bar length measured as indicated in the text. Solid lines shows the linear fit performed on the disc region.
Current usage metrics show cumulative count of Article Views (full-text article views including HTML views, PDF and ePub downloads, according to the available data) and Abstracts Views on Vision4Press platform.
Data correspond to usage on the plateform after 2015. The current usage metrics is available 48-96 hours after online publication and is updated daily on week days.
Initial download of the metrics may take a while.