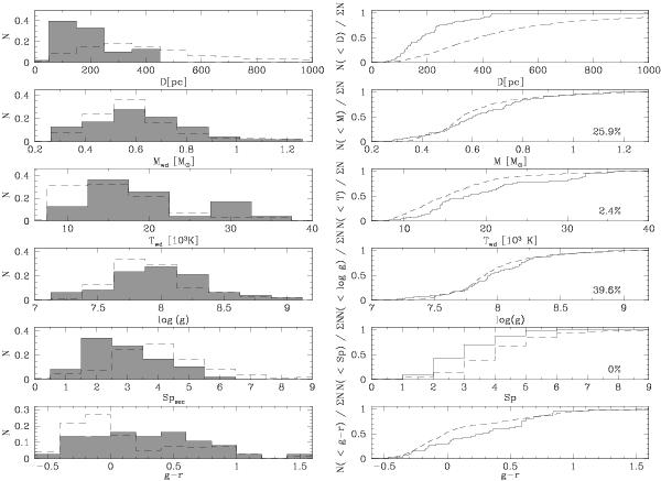
Fig. 8

From top to bottom: normalised distributions (solid line for LAMOST DA/M binaries, dashed line for SDSS DA/M binaries) of distance, white dwarf mass, effective temperature and surface gravity, spectral type of the companion star and g − r colour. Kolmogorov-Smirnov probabilities resulting from comparing the stellar parameter determinations from both samples are indicated in the right panels.
Current usage metrics show cumulative count of Article Views (full-text article views including HTML views, PDF and ePub downloads, according to the available data) and Abstracts Views on Vision4Press platform.
Data correspond to usage on the plateform after 2015. The current usage metrics is available 48-96 hours after online publication and is updated daily on week days.
Initial download of the metrics may take a while.