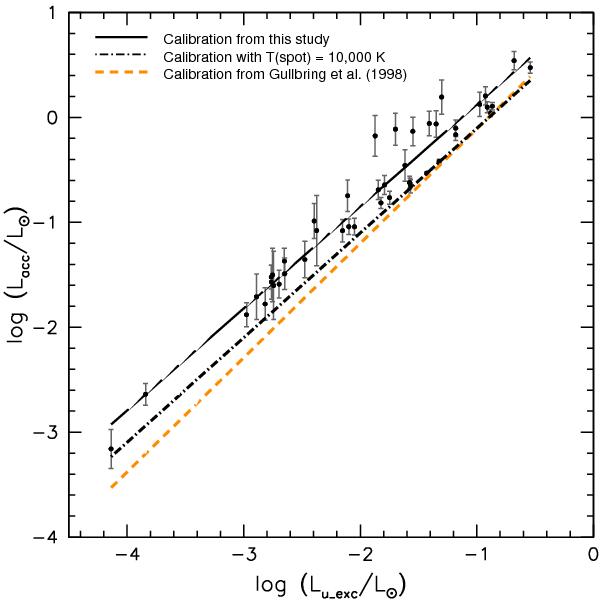
Fig. 14

Lacc–
calibration relationship. The black solid line traces the relationship derived in
this study, while the orange dashed line represents the relationship by Gullbring et al. (1998). The data points
represent the u-band excess luminosity and the accretion
luminosity estimates inferred on an individual basis for a sample of 44 CTTS in our
survey (see text). The error bars reflect the uncertainty on the individual
Tspot estimates. The black
dashed-dotted line shows the calibration line that would be inferred, with the
procedure followed in this study, in the assumption Tspot = 10
000 K.
Current usage metrics show cumulative count of Article Views (full-text article views including HTML views, PDF and ePub downloads, according to the available data) and Abstracts Views on Vision4Press platform.
Data correspond to usage on the plateform after 2015. The current usage metrics is available 48-96 hours after online publication and is updated daily on week days.
Initial download of the metrics may take a while.