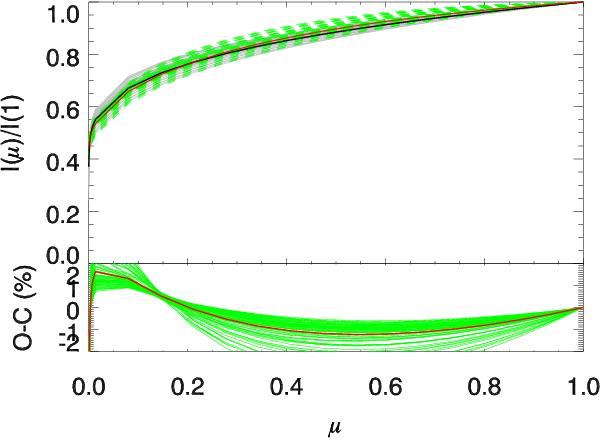
Fig. 10

Top panel: same as in Fig. 9, except that the stellar surface (μ = 0) is taken where the specific intensity has dropped by a factor of exp(1). The green dashed curves are the best fits to the wavelength-dependent profiles in grey. The solid red line is the best fit to the integrated limb-darkening profile (black line). Bottom panel: observed minus calculated values of the wavelength-dependent profiles (green curves) and the integrated profile (red curve).
Current usage metrics show cumulative count of Article Views (full-text article views including HTML views, PDF and ePub downloads, according to the available data) and Abstracts Views on Vision4Press platform.
Data correspond to usage on the plateform after 2015. The current usage metrics is available 48-96 hours after online publication and is updated daily on week days.
Initial download of the metrics may take a while.