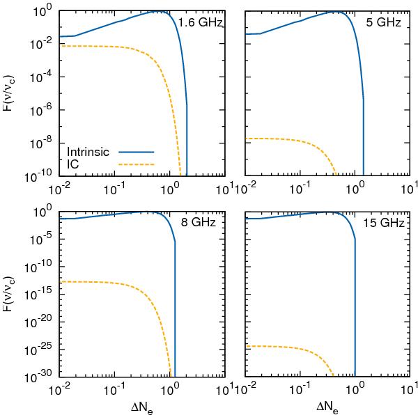
Fig. 12

Dimensionless spectral shape for synchrotron emission, F(ν/νc) (see Eq. (8)) as a function of relativistic electron number density at orbital phase, φ = 0.8. This set of plots corresponds to a point close to the stagnation point (point “A” in Fig. 9) with ζrel = 0.15, ζB = 5 × 10-5, and p = 1.6. Results are shown for frequencies, ν = 1.6, 5, 8, and 15 GHz. Corresponding electron distributions and emissivities are shown in the left column of Fig. 10; for this calculation, values to the left correspond to higher γ, and those to the right correspond to lower γ.
Current usage metrics show cumulative count of Article Views (full-text article views including HTML views, PDF and ePub downloads, according to the available data) and Abstracts Views on Vision4Press platform.
Data correspond to usage on the plateform after 2015. The current usage metrics is available 48-96 hours after online publication and is updated daily on week days.
Initial download of the metrics may take a while.