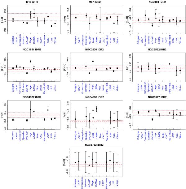
Fig. 10

Average metallicity obtained by the Nodes in comparison with a literature estimate of each calibrating cluster. Error bars indicate the standard error of the mean metallicity value of all stars in the cluster field analyzed by that given Node. Large error bars are thus caused by the presence of nonmember stars with very different metallicities. Different Nodes might have analyzed different number of stars in each cluster. Red dashed line is the literature metallicity of the cluster, taken from the catalog of Harris (1996, and online updates) for the globular clusters and from the WEBDA database for the open clusters. Dotted lines indicate a variation of ±0.15 dex in the metallicity.
Current usage metrics show cumulative count of Article Views (full-text article views including HTML views, PDF and ePub downloads, according to the available data) and Abstracts Views on Vision4Press platform.
Data correspond to usage on the plateform after 2015. The current usage metrics is available 48-96 hours after online publication and is updated daily on week days.
Initial download of the metrics may take a while.