Free Access
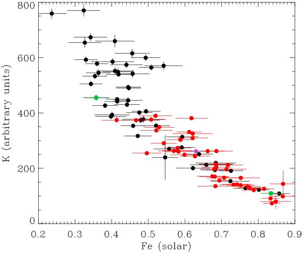
Fig. C.1

K-Fe correlation. Red marks the IN, black the OUT polygons. Green points mark regions #2 and #71 used for the test, the purple point represents the composite region #2 + #71.
Current usage metrics show cumulative count of Article Views (full-text article views including HTML views, PDF and ePub downloads, according to the available data) and Abstracts Views on Vision4Press platform.
Data correspond to usage on the plateform after 2015. The current usage metrics is available 48-96 hours after online publication and is updated daily on week days.
Initial download of the metrics may take a while.