Free Access
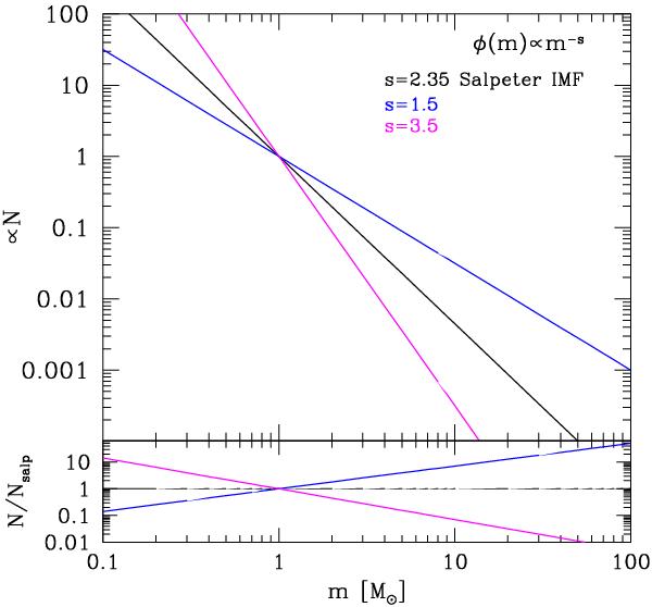
Fig. 4

Stellar initial mass functions with a different proportion of low-to-high mass stars (m) described by a power-law IMF φ(m) ∝ m−s with slopes s = 1.5, 2.35 (Salpeter IMF), and 3.5. The steeper the slope of the function is, the higher the contribution of low-mass stars.
Current usage metrics show cumulative count of Article Views (full-text article views including HTML views, PDF and ePub downloads, according to the available data) and Abstracts Views on Vision4Press platform.
Data correspond to usage on the plateform after 2015. The current usage metrics is available 48-96 hours after online publication and is updated daily on week days.
Initial download of the metrics may take a while.