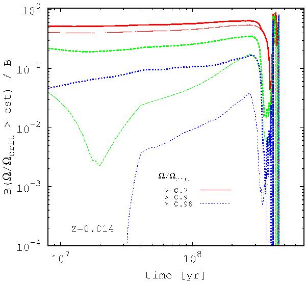
Fig. 15

Time evolution of the fraction of B-type stars that rotate faster than a certain Ω / Ωcrit for Z = 0.014. Red continuous lines correspond to the fraction of stars rotating with Ω / Ωcrit> 0.7, green dashed lines to those with Ω / Ωcrit> 0.9, and blue dotted lines to Ω / Ωcrit> 0.98. Thin lines correspond to the ZAMS rotational rates for solidly rotating models shown in Granada et al. (2013), whereas the thicker lines are our new results obtained assuming that the rotational rate at the ZAMS is the rate when the quasi-equilibrium has been reached.
Current usage metrics show cumulative count of Article Views (full-text article views including HTML views, PDF and ePub downloads, according to the available data) and Abstracts Views on Vision4Press platform.
Data correspond to usage on the plateform after 2015. The current usage metrics is available 48-96 hours after online publication and is updated daily on week days.
Initial download of the metrics may take a while.