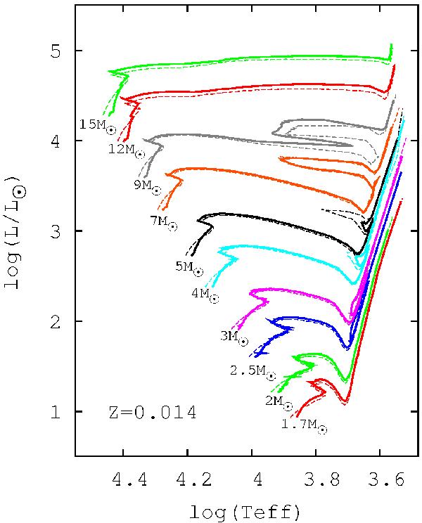
Fig. 3

Hertzprung-Russell diagram of our models with 1.7 (red), 2 (green), 2.5 (blue), 3 (magenta), 4 (cyan), 5 (black), 7 (orange), 9 (grey), 12 (red) and 15 (green) solar masses corresponding to the largest angular momentum content (thick continuous lines) and those with the highest rotational rate at the ZAMS presented by Georgy et al. (2013; thin dashed lines), for solar metallicity.
Current usage metrics show cumulative count of Article Views (full-text article views including HTML views, PDF and ePub downloads, according to the available data) and Abstracts Views on Vision4Press platform.
Data correspond to usage on the plateform after 2015. The current usage metrics is available 48-96 hours after online publication and is updated daily on week days.
Initial download of the metrics may take a while.