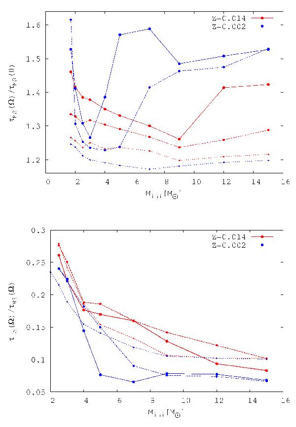
Fig. 6

Extension of the MS duration (top) and helium-burning phase (bottom) with respect to the non-rotating case for Z = 0.014 (red) and Z = 0.002 (blue), for clarity we did not plot the results for Z = 0.006, which behave much like Z = 0.014. Three rotational velocity rates are shown: ~0.43% (dotted line), ~0.83% (dashed line) and higher than 90% of critical (continuous line).
Current usage metrics show cumulative count of Article Views (full-text article views including HTML views, PDF and ePub downloads, according to the available data) and Abstracts Views on Vision4Press platform.
Data correspond to usage on the plateform after 2015. The current usage metrics is available 48-96 hours after online publication and is updated daily on week days.
Initial download of the metrics may take a while.