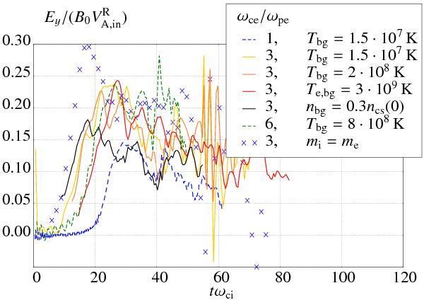
Fig. 11

Time evolution of the normalized reconnection electric field , measured at the X point of various simulations. The velocity
is given in Table 2, and B0 = 0.11, 0.33, or 0.66 for ωce/ωpe = 1, 3, or 6, respectively. Time is normalized by the ion cyclotron pulsation, but the growth rate of the collisionless relativistic tearing mode is not proportional to ωci (Pétri & Kirk 2007), hence the different time lags and shapes. In particular, for ωce/ωpe = 6, the timescale of the plot is divided by 3. For pairs, the timescale is tωce/ 25.
Current usage metrics show cumulative count of Article Views (full-text article views including HTML views, PDF and ePub downloads, according to the available data) and Abstracts Views on Vision4Press platform.
Data correspond to usage on the plateform after 2015. The current usage metrics is available 48-96 hours after online publication and is updated daily on week days.
Initial download of the metrics may take a while.