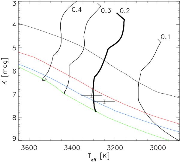
Fig. 12

Evolutionary PMS tracks for 0.1 to 0.4 solar masses and solar metallicity, shown as a function of effective temperature and absolute K-magnitude (Baraffe et al. 1998). Isochrones are drawn for 10 (black), 50, 100, and 150 Myr (green). The components of Rst 137B are indicated by error bars according to our spectroscopically determined Teff and the photometry of Janson et al. (2007), see Sect. 5.1 for details.
Current usage metrics show cumulative count of Article Views (full-text article views including HTML views, PDF and ePub downloads, according to the available data) and Abstracts Views on Vision4Press platform.
Data correspond to usage on the plateform after 2015. The current usage metrics is available 48-96 hours after online publication and is updated daily on week days.
Initial download of the metrics may take a while.