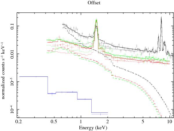
Fig. 2

Spectrum of an offset region located ~ 32 arcmin N of the cluster core to measure the sky background components, from EPIC pn (black), MOS1 (green), and MOS2 (red), and from ROSAT/PSPC (blue). The dotted lines show the model NXB for each instrument, while the dashed lines show the best-fit three-component sky background model.
Current usage metrics show cumulative count of Article Views (full-text article views including HTML views, PDF and ePub downloads, according to the available data) and Abstracts Views on Vision4Press platform.
Data correspond to usage on the plateform after 2015. The current usage metrics is available 48-96 hours after online publication and is updated daily on week days.
Initial download of the metrics may take a while.