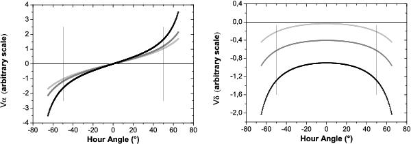
Fig. 4

Behavior of the Vα(φ,δ,H) (left) and Vδ(φ,δ,H) (right) functions for a latitude of φ = −22° and using the same arbitrary scale. We noted that the chromatic refraction is more effective in right ascension than in declination. The vertical lines indicate the limits in hour angle of our observations. The light gray curve represents a declination of − 20°; the gray curve represents a declination of 0°; and the black curve represents a declination of + 20°.
Current usage metrics show cumulative count of Article Views (full-text article views including HTML views, PDF and ePub downloads, according to the available data) and Abstracts Views on Vision4Press platform.
Data correspond to usage on the plateform after 2015. The current usage metrics is available 48-96 hours after online publication and is updated daily on week days.
Initial download of the metrics may take a while.