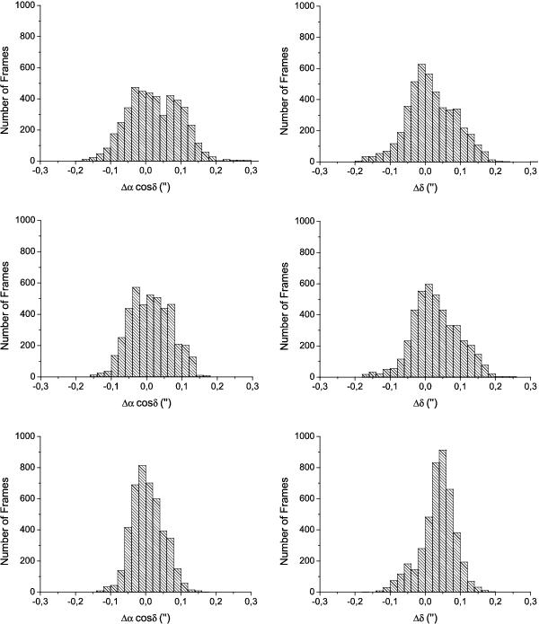
Fig. 9

Dispersion of Pluto’s ephemeris offsets before (top) and after the differential chromatic refraction (middle) and Pluto photocenter corrections (bottom). Histograms of right ascension are on the left and of declination are on the right. Ephemeris positions refer to the DE421+plu021 ephemerides from JPL. We note, as explained in the two previous sections, that the middle and bottom panels do not need to be revisited under a change of ephemeris, given that our corrections are not dependent on ephemerides positions.
Current usage metrics show cumulative count of Article Views (full-text article views including HTML views, PDF and ePub downloads, according to the available data) and Abstracts Views on Vision4Press platform.
Data correspond to usage on the plateform after 2015. The current usage metrics is available 48-96 hours after online publication and is updated daily on week days.
Initial download of the metrics may take a while.