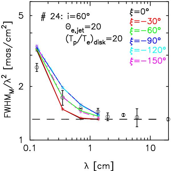
Fig. 10

Wavelength-size relation for model 24 oriented at various position angles with respect to the NE direction. The colored lines correspond to various position angles of the black hole spin on the sky, ξ. Size for λ> 13 mm are not modeled because they fall outside our simulation domain. All observational data taken from Bower et al., except one point at 1.3 mm which is taken from Doeleman et al. (2008), which is a fit to the symmetric Gaussian function (due to a poor uv coverage at 1.3 mm). At 1.3 mm the average of major and minor axis of the source are in agreement with the measured size. Horizontal dashed line corresponds to FWHMmaj = 1.309λ2.
Current usage metrics show cumulative count of Article Views (full-text article views including HTML views, PDF and ePub downloads, according to the available data) and Abstracts Views on Vision4Press platform.
Data correspond to usage on the plateform after 2015. The current usage metrics is available 48-96 hours after online publication and is updated daily on week days.
Initial download of the metrics may take a while.