Free Access
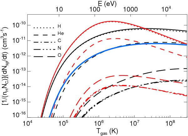
Fig. 3

Thermal sputtering rate constant for an a-C:H grain of radius 13 nm with (red lines) and without (black lines) the size correction included for different projectiles (the total sputtering is indicated by solid lines). The blue solid line refers to the erosion rate for a graphitic-type grain of radius 13 nm.
Current usage metrics show cumulative count of Article Views (full-text article views including HTML views, PDF and ePub downloads, according to the available data) and Abstracts Views on Vision4Press platform.
Data correspond to usage on the plateform after 2015. The current usage metrics is available 48-96 hours after online publication and is updated daily on week days.
Initial download of the metrics may take a while.