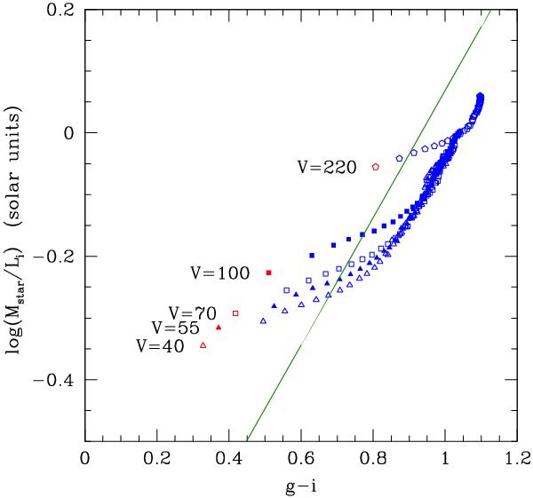
Fig. B.1

Relationship between the stellar mass-to-i-band luminosity ratio and the g − i colour index, as predicted by the calibration of Zibetti et al. (2009) (green solid line), and our models of galaxy evolution for unperturbed galaxies of different rotational velocity and fixed spin parameter (λ = 0.05; red open symbols), as well as for galaxies undergoing a ram pressure stripping event (blue symbols).
Current usage metrics show cumulative count of Article Views (full-text article views including HTML views, PDF and ePub downloads, according to the available data) and Abstracts Views on Vision4Press platform.
Data correspond to usage on the plateform after 2015. The current usage metrics is available 48-96 hours after online publication and is updated daily on week days.
Initial download of the metrics may take a while.