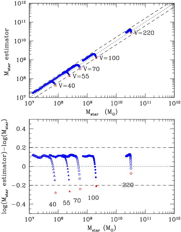
Fig. B.2

Upper panel: relationship between the stellar mass estimated using the Zibetti et al. (2009) mass-to-light colour dependent calibration and the real stellar mass of galaxies in our models of galaxy evolution for unperturbed (red symbols) and ram pressure stripped objects (blue symbols). The dotted line gives the 1:1 relation, while the dashed lines shows a variation of 0.2 dex (this value is typical of the global uncertainties affecting mass determinations due to the choice of the IMF). Lower panel: logarithmic difference between the stellar mass estimated using the Zibetti et al. (2009) mass-to-light colour dependent calibration and the stellar mass from our models for unperturbed (red symbols) and ram pressure stripped objects (blue symbols) is plotted vs. the stellar mass of the model galaxies.
Current usage metrics show cumulative count of Article Views (full-text article views including HTML views, PDF and ePub downloads, according to the available data) and Abstracts Views on Vision4Press platform.
Data correspond to usage on the plateform after 2015. The current usage metrics is available 48-96 hours after online publication and is updated daily on week days.
Initial download of the metrics may take a while.