Free Access
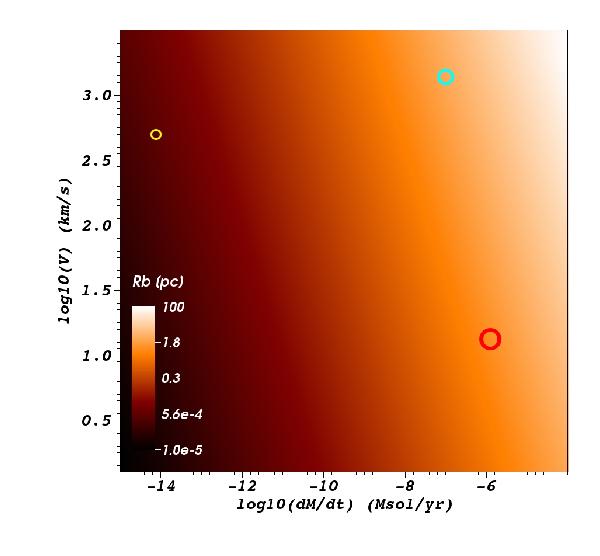
Fig. 2

Magnetic-ram pressure stand-off distance for the wind termination shock as a function of mass loss rate and wind velocity, assuming an interstellar magnetic field strength of 10 μG. The three coloured circles give the location for a solar type star (yellow), an AGB star (red), and en O-star (blue).
Current usage metrics show cumulative count of Article Views (full-text article views including HTML views, PDF and ePub downloads, according to the available data) and Abstracts Views on Vision4Press platform.
Data correspond to usage on the plateform after 2015. The current usage metrics is available 48-96 hours after online publication and is updated daily on week days.
Initial download of the metrics may take a while.