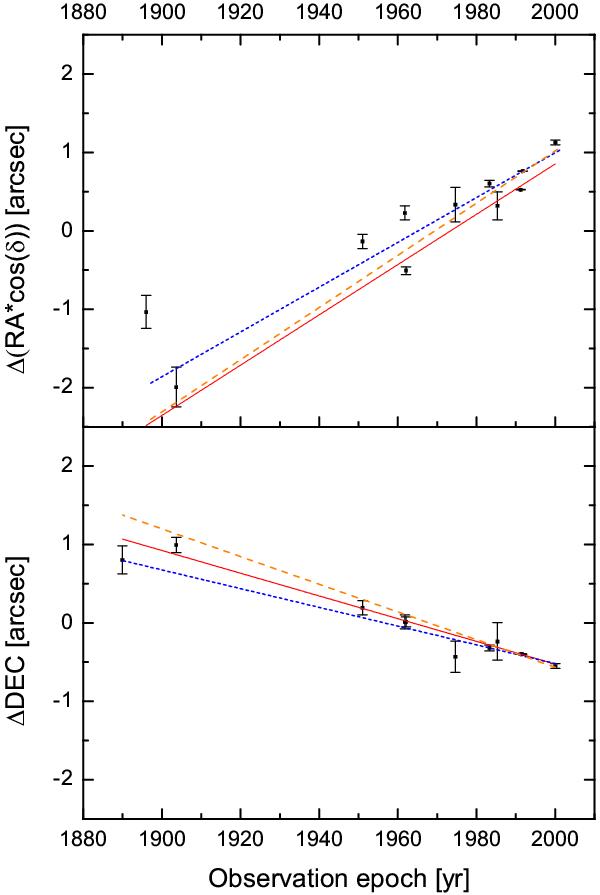
Fig. A.1

Positions of π1 Gru from catalogues spanning more than 100 years. The solid red line corresponds to a linear fit through the positions, weighted by the inverse square of the position uncertainties. The dashed blue line shows the positions extrapolated according to the Hipparcos proper motion, while the dashed orange line represents the same for the Tycho-2 proper motion.
Current usage metrics show cumulative count of Article Views (full-text article views including HTML views, PDF and ePub downloads, according to the available data) and Abstracts Views on Vision4Press platform.
Data correspond to usage on the plateform after 2015. The current usage metrics is available 48-96 hours after online publication and is updated daily on week days.
Initial download of the metrics may take a while.