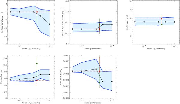
Fig. 5

Recovered model parameter values as a function of image noise for the second model, based on the best fit to observations of HIP 62207. Top row: surface density, α, particle size distribution, γ, and minimum grain size, smin. Bottom row: disc peak radius, r0, and dust mass, Mdust. See above for an explanation of the figure.
Current usage metrics show cumulative count of Article Views (full-text article views including HTML views, PDF and ePub downloads, according to the available data) and Abstracts Views on Vision4Press platform.
Data correspond to usage on the plateform after 2015. The current usage metrics is available 48-96 hours after online publication and is updated daily on week days.
Initial download of the metrics may take a while.