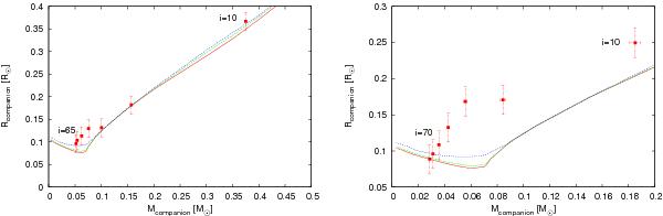
Fig. 3

Mass-radius relation of the companion of CPD-64°481 (left panel) and PHL 457 (right panel) for different inclinations (filled rectangles), compared to theoretical relations by Chabrier & Baraffe (1997) for an age of the system of 1 Gyr (short dashed line), 5 Gyr (long dashed line) and 10 Gyr (solid line). For all shown solutions mass and radius of the sdB are also consistent with the spectroscopic surface gravity measurement of log g = 5.60 ± 0.05 for CPD-64°481 (Geier et al. 2010) and log g = 5.38 ± 0.05 (Geier et al. 2013a) for PHL 457.
Current usage metrics show cumulative count of Article Views (full-text article views including HTML views, PDF and ePub downloads, according to the available data) and Abstracts Views on Vision4Press platform.
Data correspond to usage on the plateform after 2015. The current usage metrics is available 48-96 hours after online publication and is updated daily on week days.
Initial download of the metrics may take a while.