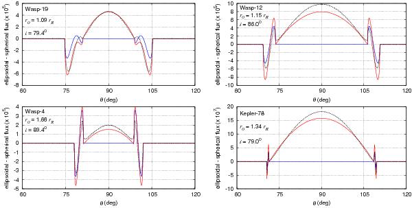
Fig. 1

Difference between the transit light curves of an ellipsoidal and a spherical planet, for some real close-in planets with different inclinations and distances to the star (Table 1). The red line shows the difference obtained with our model (Eq. (19)), while the blue line is obtained for an oblate planet with a = b ≠ c, both with stellar uniform flux. The dashed line also corresponds to the difference obtained with our model, but using a quadratic stellar limb-darkening correction I(μ) /I(1) = 1−0.4830(1 − μ) − 0.2023(1 − μ)2, which corresponds to a stellar temperature of 5500 K (Sing 2010).
Current usage metrics show cumulative count of Article Views (full-text article views including HTML views, PDF and ePub downloads, according to the available data) and Abstracts Views on Vision4Press platform.
Data correspond to usage on the plateform after 2015. The current usage metrics is available 48-96 hours after online publication and is updated daily on week days.
Initial download of the metrics may take a while.