Planck 2013 results
Free Access

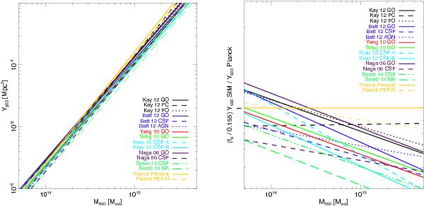
Fig. A.2

image

Left: comparison of Y500M500 relations from 12 simulations undertaken by six different groups with the updated observational Y500 result from Planck, Eq. (A.8). Right: ratio of each simulated Y500M500 relation relative to Eq. (A.8). The different scaling laws are taken from Kay et al. (2012), Battaglia et al. (2012), Yang et al. (2010), Sehgal et al. (2010), Krause et al. (2012), Nagai (2006), Sembolini et al. (2013) and Planck Collaboration XI (2011).

This figure is made of several images, please see below:

Current usage metrics show cumulative count of Article Views (full-text article views including HTML views, PDF and ePub downloads, according to the available data) and Abstracts Views on Vision4Press platform.

Data correspond to usage on the plateform after 2015. The current usage metrics is available 48-96 hours after online publication and is updated daily on week days.

Initial download of the metrics may take a while.