Planck 2013 results
Free Access

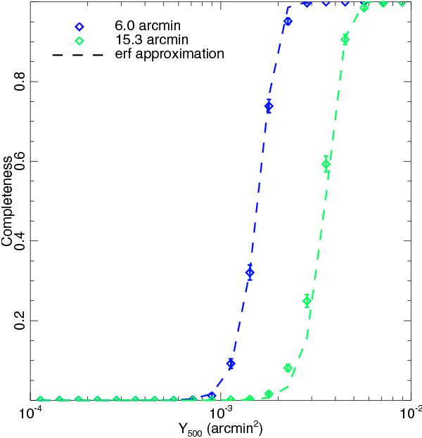
Fig. 5

image

Completeness averaged over the unmasked sky as a function of Y500 for two different filter sizes, θ500 = 6 and 15.3 arcmin. The dashed lines show the semi-analytic approximation of Eq. (10), while the diamonds with errors show the completeness estimated by the MC injection technique.

Current usage metrics show cumulative count of Article Views (full-text article views including HTML views, PDF and ePub downloads, according to the available data) and Abstracts Views on Vision4Press platform.

Data correspond to usage on the plateform after 2015. The current usage metrics is available 48-96 hours after online publication and is updated daily on week days.

Initial download of the metrics may take a while.