Planck 2013 results
Free Access

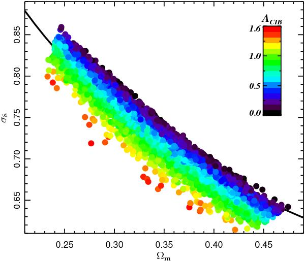
Fig. 14

image

Likelihood samples derived from the MCMC chains. The points represent pairs of values of Ωm and σ8. Only values within the 95.4% C.L. contours are shown. The clustered CIB amplitude is colour-coded according to the value of ACIB, from low (blue) to high (red). The black solid line shows the theoretical degeneracy between the two cosmological parameters.

Current usage metrics show cumulative count of Article Views (full-text article views including HTML views, PDF and ePub downloads, according to the available data) and Abstracts Views on Vision4Press platform.

Data correspond to usage on the plateform after 2015. The current usage metrics is available 48-96 hours after online publication and is updated daily on week days.

Initial download of the metrics may take a while.