Planck 2013 results
Free Access

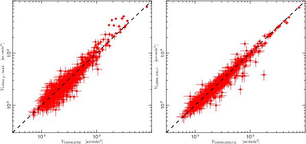
Fig. 3

image

Comparison of the measurements of Y5R500. Left: the values derived from the detection methods used to build the Planck catalogue of clusters (Y5R500,PSZ), plotted against those from the all-sky reconstructed MILCA tSZ map (Y5R500,y − MAP). Right: the MILCA (Y5R500,MILCA) versus NILC (Y5R500,NILC) all-sky tSZ effect maps. The equality relationship is marked as a dashed black line. A least-squares bisector method fit to the data lead to slopes of 1.09 ± 0.02 and 1.08 ± 0.02 for the MILCA and NILC Compton parameter maps, respectively.

This figure is made of several images, please see below:

Current usage metrics show cumulative count of Article Views (full-text article views including HTML views, PDF and ePub downloads, according to the available data) and Abstracts Views on Vision4Press platform.

Data correspond to usage on the plateform after 2015. The current usage metrics is available 48-96 hours after online publication and is updated daily on week days.

Initial download of the metrics may take a while.